使用材料
304,316L,2205,2507,钛材
产品概述
单级化工离心泵,适用于工业和城市给水、排水、亦可用于农业排灌。供输送清水或物理化学类似清水的其它液体之用,温度不高于80℃
性能范围
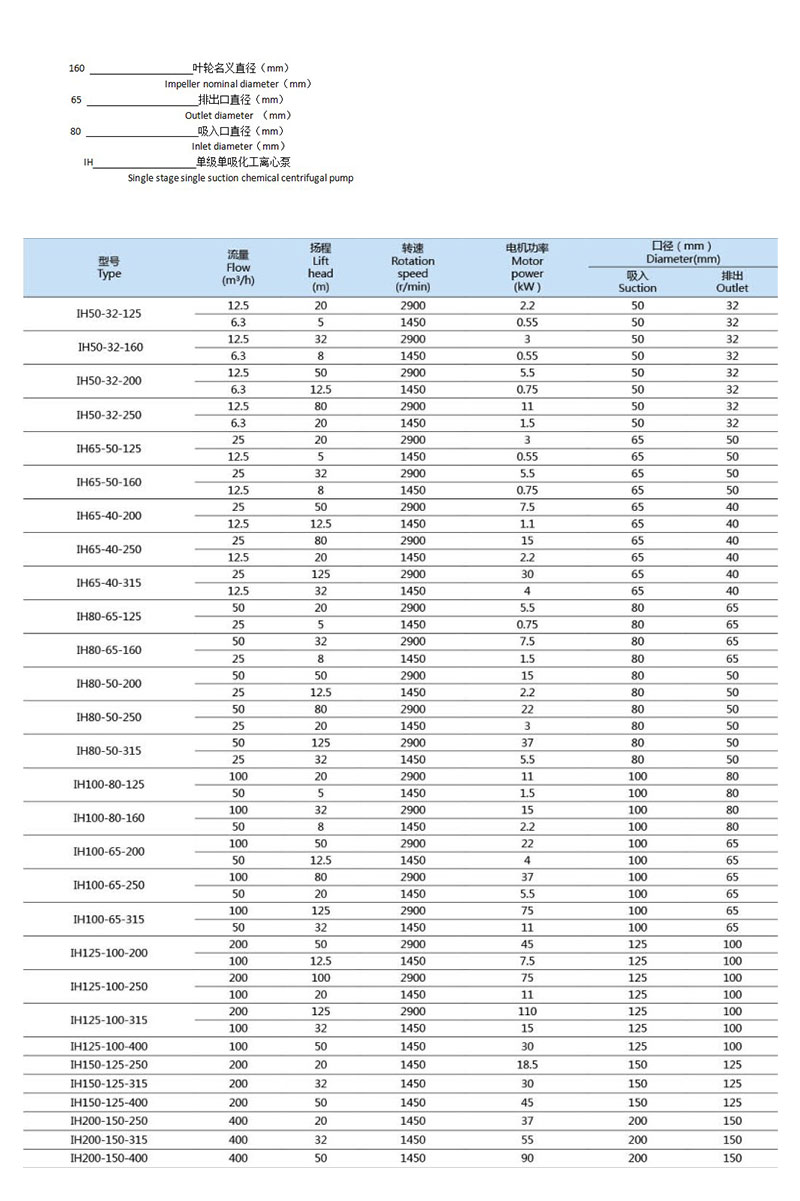
转速:2900r/min和1450r/min
吸入口直径:50~200mm
流量:6.3~400㎥/h
扬程:5~125m
型号说明